Posts in Connection
Will doing HUP link ups improve confidence and enjoyment to learn English?

Of course in a class of 50 students it’s impossible for everyone to have equal opportunities to come up and interact with the remote volunteer. The graph above shows that the increase in enjoyment wasn’t dependent on having interacted a lot with me - it happened for nearly everyone. In fact the students who interacted more than 10 times with me over the whole period were the only ones who actually went down in enjoyment. Maybe you can have too much of a good thing?! :-) 

We think that these results are really exciting and have implications for other contexts around the world too. We’d really like to know what you think of course as well. Please leave a comment below. And if you think you’d like to do something similar in a large class that you teach too then please get in touch and we’ll try to arrange it.

Read More
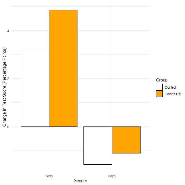
Will doing Hands up Project link ups improve the students' English test scores?

Some of our most recent blog posts have focussed on the kinds of activities we’ve done in the ‘Interculturalising the coursebook’ sessions with large classes in Gaza. You can read more about this here and here and here.

But many of our readers will know that we’ve also been researching the impact of doing these sessions on a number of different areas.

The first thing we looked at was test scores. The 200 boys and girls in the experimental groups and the 200 boys and girls in the control groups took two English tests, administered and created by their schools. The first test was the mid semester test and it happened immediately before the students started doing Hands up sessions. The second test happened right at the end of the intervention, after almost 2 months of doing weekly online link ups.

Read More
Interculturalizing English for Palestine 3 (Grade 8, Unit 6 - Friends)

The theme of this unit (friendship and talking about feelings) has the potential of course to be highly personalized, with students taking part in speaking and writing activities related to their own lives. However, there are actually very few suggested activities in the coursebook which do so, and even those that are personalized seem rather unnatural and contrived to practice particular areas of language, rather than aiming to foster genuine communication.

Read More
Ella's poem

This is Ella. She’s 11 years old and lives with her mum in Torquay, England by the sea. She likes music, animals, baking and writing. She’ll be starting secondary school in September and would like to be a photographer or a journalist when she grows up.

On Saturday, with her mum, she came along to our stall on Totnes High Street when we were reading out poems by Palestinian children. She was so impressed that she decided to go home and write her own poem as a kind of response. And here it is…. Thank you Ella!

Read More
The Remote Theatre Competition: A Journey of Resilience.

The Hands Up Project recently announced the winners of the Remote Theatre Competition, a major event in the lives of teachers and young people from Palestine and around the world.

This year's competition was based on a set of short, one-act plays that explore social and political issues. The plays were taken from the recently published book "Doing Remote Theatre" by Nick Bilbrough. This book is a collection of more than 20 plays that were written specifically for remote performance by some of the most respected names in literature, theater, and English language teaching. I highly recommend this book to anyone who is looking for inspiring and engaging plays that can be performed remotely.

Read More
Interculturalizing English for Palestine 2 (Grade 8 - People and Games)

As with the previous unit, the theme is potentially interesting and engaging for young people, and you would expect the opportunities for intercultural dialogue in our online link-ups to be very good. This potential was made even greater by the fact that the three weeks that we worked with this material were exactly when the 2022 World Cup in Qatar was happening and many of the young people in Palestine, as well as the teachers and me, were watching it avidly. Throughout the whole period there was lots of unplanned chat around who was doing well in the World Cup and which teams students wanted to win.

Read More
Interculturalizing English for Palestine 1 (Grade 8 - How to get Healthy)

We were fortunate having this unit as a starting point for our weekly online zoom link-ups. It seemed very universal in its theme but also to have the potential for some interesting cross-cultural dialogue, since what is considered healthy isn’t entirely the same amongst different communities around the world. The unit aims to teach vocabulary related to healthy or unhealthy diet and activities, as well as structures for giving advice (You’d better, Why don’t you, etc.) plus the present perfect continuous tense for repeated recent actions.

Read More
Speaking tasks in English for Palestine - Do they work?

English for Palestine, like most localised coursebooks all over the world, facilitates learning with familiar and easily accessible content. It’s also organised using broadly communicative principles and includes speaking tasks which are designed not only to activate specific areas of language but also to link these areas of language to the learners’ own lives through personalisation.

Read More
The challenges of teaching mixed-ability large classes in Gaza

A governmental school for teenagers in Gaza must surely be one of the most challenging places on Earth to teach English. Imagine working in an extremely cramped classroom (50 students to a class), with very limited resources, trying to teach English to young people who, almost without exception, have never left the tiny piece of land that is the Gaza strip, have very little hope of ever leaving, and have never had a real opportunity to use the English they are learning in any kind of meaningful way with someone from another country.

Read More
The 2023 Hands up Project poetry writing competition

For our poetry competition we’d like to invite young people all over the world to handwrite a poem of maximum fifty words which is inspired by one of these two paintings. We want you to write it by hand and also decorate the piece of paper in any way that you would like to. See for example how Angela from Spain has decorated her poem which was the winner of a competition we ran in 2020.

Read More
Ten tips for doing Lockdown/Remote Theatre

You’ll be pleased to know that we’re just about to launch the 2023 International Remote Theatre competition. To help get everyone ready for this, I’m republishing our Facebook live series - Top tips for lockdown theatre - here so that they’re all in one handy place.

i hope I’ve covered the essentials but if there is anything you think I’ve missed please add it in the comments below.

Remember too that our new digital version of Doing Remote Theatre is jam packed with advice about how to perform remote plays with learners of English.

Read More
The power of the point

I’m not knocking it! I’ve done hundreds of presentations for teachers and hundreds of language classes for students where I’ve used powerpoint slides to back up or reinforce what I was saying. It’s a great tool of course!

And in fact, the main reason why we started using Zoom back in 2015 for our Hands up online storytelling sessions was because, unlike with Skype, you can share powerpoint slides of pictures from a story, at the same time as sharing your webcam of you telling the story (see below for example)

Read More
Palestine calling

It’s always good to start with a few facts and figures even if I can’t vouch 100% for their accuracy. But I think you get the general idea. These are the distances currently being bridged by teachers in Palestine and Hands Up volunteers around the world.

Read More